Persamaan garis lurus mempunyai satu buah gradien dan kita bisa menggunakan gradien ini untuk menemukan persamaan garisnya.
Rumus yang digunakan
Ada dua rumus yang bisa digunakan untuk mencari persamaan garis lurus jika diketahui dua titik koordinat.
Rumus pertama
Untuk rumus pertama, kita bisa langsung menggunakan dua titik yang ada dan dimasukkan ke rumus. Sehingga persamaannya langsung ditemukan.
Rumus kedua
Rumus kedua pada prinsipnya sama dengan rumus pertama, tetapi kita harus mencari gradien garisnya dulu.
Gradien garis = m
Ok...
Sekarang kita coba contoh soalnya dan terapkan kedua cara dengan menggunakan satu buah soal yang sama.
Soal :
1. Sebuah persamaan garis lurus melewati dua titik (1,2) dan (3,6). Carilah persamaan garis lurus yang melewati kedua titik tersebut!
1. Sebuah persamaan garis lurus melewati dua titik (1,2) dan (3,6). Carilah persamaan garis lurus yang melewati kedua titik tersebut!
Titik (1,2) :
- x₁ = 1
- y₁ = 2
Titik (3,6) :
- x₂ = 3
- y₂ = 6
Cara pertama
Kita gunakan rumus yang pertama untuk mendapatkan persamaan garisnya.
Masukkan masing-masing titik sesuai penjabaran di atas.
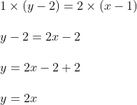
- 4 dan 2 bisa disederhanakan dengan cara membagi 2 keduanya
- 4 : 2 = 2
- 2 : 2 = 1
Kemudian :
- Kalikan silang antara y-2 dengan 1
- Kalikan silang antara x-1 dengan 2
- (y-2) dikali 1 hasilnya tetap y-2
- Mengalikan 2 dengan (x-1) caranya 2 dikalikan dengan x menjadi 2x
 Dan 2 dikalikan dengan -1 menjadi -2
 Jadi semua suku yang ada di dalam kurung, yaitu x dan -1, dikalikan dengan 2 yang ada di luar kurung
- Pindahkan -2 ke ruas kanan menjadi +2
Sehingga diperoleh y = 2x.
Inilah persamaan garis yang dimaksud.
Tipsy dan x dibiarkan saja ya. Jangan diganti dengan angka, karena bentuk persamaan garis lurus harus mengandung y dan x.
Cara kedua
Untuk cara yang kedua kita harus mencari gradien (m) atau kemiringan dari garis lurusnya. Rumusnya seperti di atas.
Titik (1,2) :
- x₁ = 1
- y₁ = 2
Titik (3,6) :
- x₂ = 3
- y₂ = 6
Sekarang kita bisa mencari persamaan garis lurusnya.
Titik (1,2) :
- x₁ = 1
- y₁ = 2
- m = 2
Hasilnya sama bukan dengan cara pertama.
Silahkan dipilih, cara mana yang lebih disukai ya!!
 
Posting Komentar untuk "Carilah persamaan garis lurus yang melewati dua titik (1,2) dan (3, 6)!"